【予想】2026年度、静岡県公立一般入試問題!数学の平均点はずばり25.9点!
静岡市葵区・駿河区で塾をお探しの皆さん。こんにちは!
思考力学習・ミス防止を徹底指導。集団指導の学習塾WINGSです。
葵小・横内小・竜南小・城北小・伝馬町小・安東小・静大附属小・服織小・森下小
城内中・東中・安東中・大成中
静岡東高校・駿河総合高校の方々にお世話になっております。
今回は初めて、2026年度の静岡県の入試問題の平均点を予測したいと思います。
本日は数学の平均点を予測します!
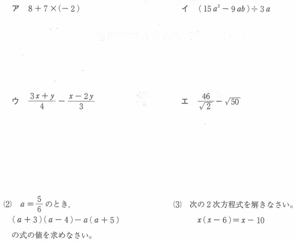
大問1. 計算問題(12点中)

正直、落とす問題はないと思いますが、『エ』が個人的には珍しい計算だと思いました。
ただ当日の緊張からのミスもあるかとは思いますので、
大問1の計算問題の平均点は12点中9.6点と予測します。
大問2. 小問集合(6点中)


まず(1)の作図の問題は話になりません。ここ最近の静岡の作図の中でもかなり簡単です。
(2)は円柱の表面積の問題でした。
展開図にしたときの側面の形が長方形になることと、底面が2つあることに気を付けましょう!
(3)の確率は落ち着いて樹形図を描けば求められたはずです。
ただ、数学が苦手な受験生も多いので、6点中3.8点と予測します。
大問3. 方程式の文章問題(5点中)

静岡県の入試問題では、割合の問題が多いですが、今年は速さが出題されました。
そして問題設定が少しややこしくなっています!一旦飛ばした受験生もいたかと思います。
よって少し低く見積もり、5点中2点と予測します。
大問4. 空間図形(7点中)

空間図形は解説ブログを作ってあるので、良ければご覧ください!
【速報①】2026年度、静岡県公立一般入試!空間図形(数学)の解説!
(1)のねじれの位置から間違えた受験生、いると思います...
三角錐のねじれの位置は慣れていないですからね。
そして(2)は面積比+比合わせを使わないといけないので、正答率は例年未満でしょう。
(3)もBCを高さと勘違いした受験生は多いと思うので、こちらも正答率は低いと予想できます。
これらのことから、空間図形は7点中2.3点と予測します。
大問5. データの活用(3点中)

(1)は間違えようがありませんね。
(2)は何かしら読み取れることを書けば正解となると思いますが、
なかなか記述が書きにくく、飛ばした受験生もいるかと思います。
よって、3点中1.6点と予測します。
大問6. 関数(8点中)

関数も解説ブログがあります!
【速報②】2026年度、静岡県公立一般入試!関数(数学)の解説!
まぁさすがに受験生であれば、(1)、(2)は間違えないでしょう。
(3)も相当簡単な問題が出題されたため、関数の平均点は高くなりそうです。
よって、8点中4.4点と予測します
大問7. 平面図形(9点中)

平面図形も解説ブログを作ってあります!
【速報③】2026年度、静岡県公立一般入試!平面図形(数学)の解説!
今年の証明は満点を取ることは難しいでしょう。
ただ、部分点で2点分は取りやすいです!
またラストの角度の問題は、それほど難しくはありません。上位校を目指す受験生なら正解したいです。
平面図形は最初から諦めている受験生もいると思うので、9点中2.2点と予測します。
2026年度の数学の平均点は25.9点!
以上の予測から、各大問の平均点を合計すると2026年度の数学は25.9点と予測できます!
例年と比較すると高めの予測となりました。
個人的にそのくらい今年の数学は簡単だったと思います!
方程式の文章問題、空間図形、データの活用などで焦らずミスを減らせれば点数は伸びると思います。
次回は2026年度の静岡県の公立一般入試問題、理科の平均点を予測したいと思います!
今回のブログで少しでもご興味をお持ちいただけた方、是非WINGSの授業を体験してみてください!
学習相談・無料体験から受け付けておりますので、まずは気軽にホームページから資料請求をしてください。
お問い合わせはホームページの問い合わせフォーム、または054-330-9913までお願いします。
ブログを見ました・友達から聞きました・看板を見ました・チラシを見ました。とお伝えください。
【↓無料体験も受け付けています↓】


